Einstein

Genius est une série télévisée de Noah Pink et Ken Biller. La saison 1, tirée du roman de de Walter Isaacson Einstein, la vie d’un génie (2007) et produite par Brian Grazer et Ron Howard, a été diffusée sur National Geographic Channel. Elle retrace la vie et l’œuvre d’Albert Einstein et relate avec une certaine efficacité la situation des sciences physiques à la fin du XIXe siècle et dans la première moitié du XXe siècle.
Voir : https://www.natgeotv.com/ca/genius-einstein
____________________________
Cet article se propose de pointer les contenus scientifiques évoqués dans les différents chapitres de la série et de les expliciter. Les liens correspondent à différents travaux proposés sur ce même site : https://jcmarot.com
——————————————————-
A la fin du XIXe siècle la physique classique comprenait :
la mécanique newtonienne, Newton (1687) ;
l’électromagnétisme, Maxwell (1865) Lorentz (1895) ;
la thermodynamique, Clausius (1850)
la physique statistique, Maxwell et Boltzmann (1877).
Selon William Thomson (Lord Kelvin – 1824 – 1907) il n’y a alors que « deux petits nuages dans le ciel serein de la physique théorique » :
-
- les difficultés à modéliser le rayonnement thermique, qualifiées de « catastrophe ultraviolette » ;
- la contradiction entre la relativité newtonienne et l’électromagnétisme confirmée par le résultat négatif de l’expérience de Michelson et Morlay concernant la vitesse de la lumière.
Thomson laissait alors entendre que ces deux difficultés seraient bientôt résolues… Ce ne fut pas le cas : ces deux obstacles conduisirent aux deux bouleversements radicaux de la physique du début du XXe siècle avec la mécanique quantique d’une part et la mécanique relativiste d’autre part. Comme on le sait, Einstein y prit une bonne part, mais il ne fut évidemment pas le seul…
Dans la même période les querelles sur l’existence des atomes et des molécules perdurent, depuis le début du XIXe siècle. Aussi bien en chimie qu’en physique, le positivisme dominant fait obstacle à tout ce qui échappe à l’expérimentation. Jean-Baptiste Dumas écrit : « Si j’en étais le maître, j’effacerais le mot atome de la science, persuadé qu’il va plus loin que l’expérience ; et jamais en chimie nous ne devons aller plus loin que l’expérience » . Là aussi Einstein prendra sa part avec ses travaux sur le mouvement brownien qui apportent une contribution décisive à la théorie atomique.
____________________________
Documents disponibles à l’adresse DOCS (dossier genius).
____________________________________
Chapitre 1
05 : 12 – Qu’est-ce que le temps ? (Cours d’Einstein en juin 1922).
https://jcmarot.com/2018/02/21/relativite-2-muon/
Relativité restreinte : durée propre et durée mesuré, dilatation des durées.

Par rapport à K, l’horloge est animée de la vitesse v ; par rapport à ce corps de référence, l’intervalle de temps qui sépare deux de ses battements successifs n’est pas une seconde, mais

de secondes, c’est-à-dire un temps un peu plus long. Par suite de son mouvement, l’horloge marche plus lentement que lorsqu’elle est au repos. Ici également la vitesse c joue le rôle d’une vitesse limite qu’il est impossible d’atteindre. […] Chaque corps de référence (système de coordonnées) a son temps propre ; une indication de temps n’a de sens que si l’on indique le corps de référence auquel elle se rapporte. Einstein. La théorie de la relativité restreinte et générale.
16 : 39 – L’éther n’existe pas. (Suite du cours d’Einstein en Juin 1922).
https://jcmarot.com/2018/02/15/relativite-1-ether/
[…] les ondes peuvent se propager notamment dans l’eau ou sur des cordes et des ressorts et que les ondes sonores se propagent dans l’air ou dans d’autres milieux matériels. Les physiciens du XIXe siècle pensaient que le monde matériel obéissait aux lois de la mécanique ; ils supposaient donc naturellement que la lumière se propageait elle aussi dans un milieu particulier ; ils nommèrent éther ce milieu transparent dont ils supposaient qu’il emplissait l’espace tout entier. Les physiciens pensaient donc que la vitesse de la lumière calculée à l’aide des équations de Maxwell était celle de la lumière dans l’éther.
Douglas Giancolli. Physique générale : ondes, optique et physique moderne.
Huyghens puis Fresnel avaient soutenu, contre Newton et ses héritiers, une conception ondulatoire de la lumière, très efficace pour l’interprétation de la diffraction et des interférences. Les physiciens (et Newton lui-même), généralement réticents aux concepts de « vide » et « d’interaction à distance », trouvaient leur compte à concevoir à nouveaux frais un « Éther luminifère » comme support des ondes lumineuses et, plus généralement, des ondes électromagnétiques. De plus cet éther donnait de la substance au concept de champ électrique et magnétique (Faraday, dans les années 1850). Les travaux de Maxwell installent efficacement la théorie de l’électromagnétisme et englobent le modèle des ondes lumineuses (en effet la célérité de la lumière coïncide admirablement avec celle des ondes électromagnétiques).
Mais c’était sans compter avec deux contradictions majeures.
Les équations de Maxwell ne sont pas invariantes par changement de référentiel galiléen et ne sont opératoires que dans un référentiel absolu qui serait donc lié à l’Éther.
L’expérience de Michelson et Morlay montre que la célérité de la lumière est indépendante du référentiel galiléen choisi, alors que la relativité galiléenne classique postule l’additivité des vitesses relatives…
Il faut donc choisir : équations de Maxwell ou relativité galiléenne classique, et conservation ou non du référentiel absolu qui serait lié à l’Ether !
En 1905, Einstein postule l’équivalence des lois de la physique, y compris électromagnétiques ainsi que l’invariance de la vitesse de la lumière dans tous les référentiels inertiels. Il considère le concept d’éther comme superflu et sans objet. La lumière est la propagation de la variation d’un champ électromagnétique, dans le vide et sans nécessité d’un « support » quelconque…
Les quatre articles d’Einstein de 1905. Publications dans Annalen der Physik.

18 mars 1905 (publié le 9 juin) : « Sur un point de vue heuristique concernant la production et la transformation de la lumière », selon lequel la lumière est constituée de quanta d’énergie nommés plus tard les photons.
11 mai 1905 (publié le 18 juillet) : « Du mouvement des particules en suspension dans les liquides au repos lié à la théorie cinétique moléculaire de la chaleur », apportant une preuve supplémentaire à la structure moléculaire de la matière à partir de l’étude du mouvement brownien.
30 juin 1905 (publié le 26 septembre) : « Sur l’électrodynamique des corps en mouvement », redéfinissant les relations entre l’espace et le temps et énonçant la théorie de la relativité restreinte.
Septembre 1905 (publié le 21 novembre) : « L’inertie d’un corps dépend-elle de son énergie ? », addendum à l’article précédent, montrant l’équivalence entre la masse et l’énergie avec la fameuse formule E = m C2 et que l’inertie est liée à l’énergie totale (énergie de masse + énergie cinétique).
35 : 50 – Seconde loi de Newton ; questions sur le temps et l’espace absolus. (Aarau – Suisse 1895).
La physique de la fin du XIXe siècle repose sur la mécanique de Newton (Philosophiae naturalis principia mathematica 1687). La description des mouvements est fondée sur la conception d’un espace et un temps absolus (les intervalles de temps et d’espace séparant deux événements ne dépendent pas de l’« observateur », du référentiel). La description d’un mouvement est relative au référentiel choisi mais les lois de la physique sont invariantes dans tous les référentiels « galiléen » (en mouvement relatif rectiligne uniforme). Les lois de Newton du mouvement sont universelles et permettent la prévision et la description du mouvement d’un objet en fonction des forces qu’il subit :
Première loi (principe d’inertie) : si un objet n’est soumis à aucune force sont mouvement est rectiligne uniforme (ou il reste immobile) dans un référentiel galiléen.
Seconde loi : si un objet (de masse constante) subit une ou plusieurs forces sa vitesse varie en proportion de sa masse, selon la relation est le vecteur accélération, c’est-à-dire la dérivée du vecteur vitesse par rapport au temps.
Ces lois ne sont pas formulées mathématiquement sous cette forme par Newton lui-même dans Principia. Elles le seront par la suite avec le développement de la mathématique analytique.
55 : 08 – Rencontre avec Mileva Maric ; Empédocle et la question de la lumière ; Maxwell et les ondes électromagnétiques ; histoire des modèles de la lumière. (Zurich Polytechnic 1896).
https://jcmarot.com/2016/10/16/fiat-lux/
Voir également animations pour quantique (1)
https://wordpress.com/post/jcmarot.com/3971

Albert et Mileva

MAXWELL (1831 – 1879)
Pour représenter les champs magnétiques, Maxwell fait appel à une analogie mécanique. Il reprend les « tubes de force » de Faraday et les remplit de « tourbillons moléculaires » dont les axes sont tous parallèles au tube. […] C’est à ce modèle construit sans grand soucis de réalisme que Maxwell entreprend d’appliquer les lois de la mécanique des fluides. Une fois établies les relations mathématiques entre les grandeurs physiques caractérisant ce fluide « mécanique » Maxwell peut substituer à chacune de ces grandeurs mécaniques une grandeur électrique ou magnétique. […] Conséquence de sa théorie : les phénomènes électromagnétiques ne sont pas des actions instantanées à distance. Avec Maxwell comme avec Faraday, nous ne sommes plus dans l’univers de Newton. Les forces électriques et magnétiques se propagent de proche en proche dans un milieu éthéré. La vitesse de cette propagation est finie et dépend du milieu : dans le vide affirme Maxwell. De plus, les ondes électromagnétiques sont, comme les vibrations lumineuses, perpendiculaires à leur direction de propagation. Engagé en un si bon chemin, Maxwell n’a plus qu’à supposer que c’est le même éther qui propage les ondes électromagnétiques et la lumière ; et, pourquoi pas, il n’a plus qu’à admettre que les vibrations lumineuses sont des ondes électromagnétiques. Ainsi la jonction est faite : l’optique et l’électromagnétisme sont unifiés. La démarche de Maxwell a aussi une autre conséquence. Une fois ces lois établies il découvre qu’il peut se passer de son « analogie physique » de départ. L’éther mécanique a-t-il encore un intérêt ? Maxwell ne va pas jusqu’à nier son existence, il suppose simplement que son analogie physique ne peut pas le représenter… Les cahiers de Science et Vie ; « Fresnel ; qu’est-ce que la lumière ? »

James Clerc Maxwell (1831 – 1979)
____________________________
Chapitre 2
01 : 55 – Cours de Weber ; entropie, irréversibilité ; l’existence des molécules n’a pas été prouvée ; contradiction de l’irréversibilité avec la mécanique de newton. (Zurich Polytechnic 1896).
https://jcmarot.com/2017/12/10/atomisme-2/
et pour la version chimique :
https://jcmarot.com/2016/11/18/atomes/
Les querelles scientifiques sur les questions de l’atomisme, donc l’existence des atomes, ont durée 100 ans, tout au long du XIXe siècle. En chimie d’abord, avec la ferme opposition des « équivalentistes » pour lesquels on doit s’en tenir strictement à l’expérience : « si j’en étais le maître, j’effacerais le mot atome de la science, persuadé qu’il va plus loin que l’expérience ; et jamais en chimie nous ne devons aller plus loin que l’expérience » (DUMAS Jean-Baptiste).
En physique aussi le positivisme dominant fait que le modèle atomique a du mal à voir le jour. Au siècle précédent deux conceptions s’opposaient déjà sur la conception de la chaleur : le substancialisme (chaleur = calorique) et le mécanisme (chaleur = mouvement d’agitation). Maxwell et Boltzmann vont pourtant développer une modélisation mathématisée de la structure moléculaire des gaz, la théorie cinétique, qui finira par s’imposer et constituera les bases de la physique statistique.
[…] L’inébranlable foi atomiste du physicien viennois [Boltzmann] se heurtait à un autre obstacle, idéologique celui-là : le positivisme (qui ne se privait pas de se réclamer de Newton) combattait violemment l’atomisme qui prétendait fonder la physique sur
des entités inobservables. Affaire de croyance, de part et d’autre. Se comparant à Galilée persécuté pour ses convictions scientifiques, Boltzmann s’écrie : « Je crois pouvoir dire des molécules : et pourtant elles se meuvent ! ». Tandis que Mach, son vieil adversaire, lui réplique : « Dites-moi, vous en avez vu une? ». Mais, à la fin de sa vie, alors que surgissent et s’accumulent les arguments expérimentaux en faveur de l’atomisme. Mach change de camp : « Maintenant, déclare-t-il, je crois à l`existence des atomes ». Lou Verlet, Newton et la foi atomiste in L’atomisme aux XVIIe et XVIIIe siècles – Journées d`études – la Sorbonne
https://jcmarot.com/2017/12/27/atomisme-4-entropie/
La flèche du temps fait partie de notre expérience sensible et nous en faisons l’expérience chaque jour : les miroirs brisés ne se recollent pas, les êtres humains ne rajeunissent pas, et les cernes croissent sans cesse dans les troncs des arbres… En somme, le temps s’écoule toujours dans le même sens ! Pourtant, les lois fondamentales de la physique classique ne privilégient aucune direction du temps et obéissent à une rigoureuse symétrie entre passé et futur. […] Depuis Boltzmann, la physique statistique avance une […] explication : la flèche du temps
traduit un flot constant des événements moins probables vers les événements plus probables. Cédric Villani. (Ir)réversibilité et entropie. Séminaire Poincaré XV. Le Temps (2010).
08 : 25 – B pour Boltzmann ; Mileva et Albert évoquent la théorie cinétique des gaz. (Zurich Polytechnic 1896).
https://jcmarot.com/2017/12/18/atomisme-3/

La théorie cinétique des gaz est attribuée à James Clerk Maxwell (1859) et Ludwig Boltzmann (1880). C’est une description mathématisée qui permet de relier les propriétés macroscopiques d’un gaz aux mouvements des « molécules » qui le constitue, à partir de deux idées initiales :
–l’agitation moléculaire : les molécules de gaz se déplacent librement dans tout le volume et subissent des chocs (des molécules entre elles ou des molécules contre les obstacles) qui modifient leur trajectoire ;
–le chaos moléculaire : la trajectoire d’une molécule est une marche au hasard.
17 : 49 – Mileva et Albert : l’interprétation statistique de l’entropie.
https://jcmarot.com/2017/12/27/atomisme-4-entropie/
et
https://jcmarot.com/2016/12/13/la-fleche-du-temps/

L’entropie S est une grandeur physique définie par Clausius (1865). Cette grandeur permet d’énoncer le second principe de la thermodynamique : l’entropie d’un système isolé augmente au cours de tout événement qui s’y déroule ; plus généralement toute transformation d’un système thermodynamique s’effectue avec augmentation de l’entropie globale incluant l’entropie du système et du milieu extérieur. A partir de la théorie cinétique des gaz, Boltzmann donne de l’entropie une interprétation statistique, pour des systèmes comme les gaz, constitués par un très grand nombre de molécules. Il relie l’entropie au nombre de complexions Ω, c’est-à-dire le nombre de façon de réaliser un système à partir de ses constituants.
La relation (où ln est le logarithme népérien et kB la constante de Boltzmann : kB = 1,381 × 10−23 J.K−1) est la suivante :
S = kB ln Ω
Plus le nombre de complexions est grand, plus le désordre est grand et plus l’entropie est importante. Par conséquent l’entropie est une mesure du désordre. Alors, selon le second principe de la thermodynamique, toute transformation d’un système conduit à une augmentation globale de l’entropie et donc du désordre global. Ceci traduit bien l’idée d’irréversibilité et de « flèche du temps » : si on fait fondre du sucre dans le café il y a peu de chance que le morceau de sucre se reconstitue spontanément !
Supposons deux compartiments : l’un (à gauche) contient un gaz, l’autre est vide. Si on les met en communication le gaz va se répandre irréversiblement dans les deux, par le jeu des mouvements moléculaires. La probabilité pour que la totalité du gaz se retrouve dans l’un des compartiments seulement est nulle (ou presque…) !

En thermodynamique statistique de Boltzmann, l’irréversibilité se modélise donc par les calculs de probabilité, basés sur les nombres de complexions évoqués plus haut.
19 : 40 – Evocation d’Ernst Mach par Michele Besso. (Zurich Polytechnic 1896).
https://fr.wikipedia.org/wiki/Principe_de_Mach
En physique théorique, le principe de Mach est une conjecture selon laquelle l’inertie des objets matériels serait induite par « l’ensemble des autres masses présentes dans l’univers », par une interaction non spécifiée. Ce principe a été forgé par le physicien Ernst Mach par extension du principe de relativité aux questions d’inertie : pour Mach, parler d’accélération ou de rotation par rapport à un espace absolu n’a aucun sens, et il vaut mieux parler d’accélération par rapport à des masses lointaines. […] Ce principe est exprimé pour la première fois par Mach dans son ouvrage The Science of Mechanics en 1893, mais a été identifié en tant que principe et baptisé « Principe de Mach » par Albert Einstein en 1918.

22 : 40 – Cours de Lenard ; théorie cinétique des gaz ; Mileva échange avec Albert… (Heidelberg University 1898) ; Einstein s’oppose violemment au professeur Weber au sujet de l’interprétation de la thermodynamique (Zurich Polytechnic 1898).
https://jcmarot.com/2017/12/03/gaz-1/
On suppose que la pression est due aux chocs des molécules sur les parois du récipient : si le volume diminue la pression augmente (à température constante) car les molécules sont plus proches et les chocs sur les parois sont plus nombreux donc la pression augmente. A volume constant si la température augmente la pression augmente ; en effet les molécules ont des mouvements plus rapides donc les chocs sur les parois sont plus nombreux et plus violents.
https://jcmarot.com/2017/12/18/atomisme-3/
En 1738 Daniel Bernoulli (1700 – 1782) publie Hydrodynamica. Il formule l’hypothèse qu’un gaz est constitué d’un très grand nombre de « molécules » se déplaçant dans toutes les directions, alors que les concepts d’atome ou de molécule ne sont pas encore admis à l’époque. Il considère que la pression d’un gaz est due aux chocs de ces molécules sur les parois du récipient qui le contient et que la température correspond à l’énergie de leur mouvement.
26 : 30 – Mileva Maric interpelle le professeur Lenard à propos du théorème d’équipartition de Boltzmann. (Heidelberg University 1898).
https://jcmarot.com/2017/12/18/atomisme-3/
Théorème d’équipartition de l’énergie
[…] on sait depuis les travaux de Maxwell et Boltzmann au XIXe siècle, que la température est susceptible d’une définition microscopique : elle est une mesure de l’agitation thermique des constituants « atomiques » de la matière, indépendante de la nature chimique de ces constituants. Plus précisément, pour un corps maintenu à la température T, l’énergie cinétique moyenne associée à chaque degré de liberté de ces constituants est égale à ½ kB T (théorème dit d’équipartition de l’énergie), où kB est une des constantes fondamentales de la physique, appelée constante de Boltzmann. Le point essentiel est qu’au niveau microscopique la grandeur susceptible d’une interprétation physique est, non pas la température T elle-même, mais le produit kB T.

34 : 02 puis 36 : 25 – Discussion entre Albert et Mileva : pression, température,
chaos moléculaire. Le moyen de prouver l’existence des molécules ?
https://jcmarot.com/2017/12/18/atomisme-3/
et
https://jcmarot.com/2017/01/04/mouvement-brownien/
C’est l’amorce de la réflexion qui conduira à la publication de l’article de mai 1905 sur le mouvement brownien. (Voir plus loin chapitre 4).
____________________________
Chapitre 3
01 : 50 – Wilhelm Röntgen et les rayons X ; la photo des os sous la peau. (Wurtzbourg 1895). Lenard, qui a travaillé sur les rayons cathodiques, a manqué cette découverte.
https://fr.wikipedia.org/wiki/Wilhelm_R%C3%B6ntgen
Le soir du 8 novembre 1895, Röntgen observe qu’à la décharge d’un tube, complètement enrobé de carton noir, scellé pour en exclure toute lumière et ceci dans une chambre noire, un carton couvert d’un côté de baryum platino-cyanide devient fluorescent lorsqu’il est frappé par les rayons émis du tube, et ce jusqu’à une distance de deux mètres. Lors d’expériences subséquentes, il place divers objets entre une plaque photographique et la source de rayonnement et il se
rend compte qu’ils ont une transparence variable. Il expérimente ensuite avec la main de son épouse placée sur le parcours des rayons. Au développement, il s’aperçoit que l’image est l’ombre des os de la main de son épouse, son alliance y étant visible. Les os sont entourés d’une pénombre qui représente la chair de la main, la chair est donc plus perméable aux rayons. C’est le premier « Röntgenogram ». À la suite d’autres expériences, Röntgen constate que les nouveaux rayons sont produits par l’impact des rayons cathodiques sur un objet matériel. Parce que leur nature est encore inconnue, il leur donne le nom de « rayons X ».
18 : 12 – Lenard proteste devant l’académie de Prusse
au sujet de rayons X. (Berlin 1901).
https://fr.wikipedia.org/wiki/Philipp_Lenard#Einstein
Lenard est un expérimentateur connu pour ses contributions à l’étude des rayons cathodiques. Avant lui, les rayons cathodiques étaient produits dans des tubes de Crookes en simple verre, sous vide partiel et munis d’électrodes métalliques, auxquelles on appliquait une forte tension. Les rayons ne peuvent sortir de ces tubes, et sont donc difficiles à étudier. Il réussit à ajouter aux tubes des plaques de métal qui laissent ressortir ces rayons, ce qui lui permet de les étudier. Il reçoit la Rumford Medal de la Royal Society en 1896, et le prix Nobel de physique en 1905 « pour ses recherches sur les rayons cathodiques ». Il est lauréat de la médaille Franklin en 1932 pour ses travaux sur la photoélectricité. Lenard accuse publiquement Wilhelm Röntgen, prix Nobel de physique en 1901 pour sa découverte des rayons X, et Joseph Thomson, prix Nobel de physique en 1906 pour sa découverte de l’électron, de s’être appropriés une partie de son travail. […]
Nationaliste, il fut un des signataires du Manifeste des 93 en 1914. Dans les années 1930, il rejoint le NSDAP, et devient un idéologue de la physique « aryenne » ou « allemande ». À ce titre, il a, entre autres, vilipendé Albert Einstein, attribuant à Friedrich Hasenöhrl la formule E=mc2 pour en faire une création aryenne. […]
26 : 15 – Un nouveau papier : les quantas de Planck.
https://jcmarot.com/2018/01/01/quantique-1-catastrophe-ultraviolette/
Voir également : animations pour quantique (1)
https://wordpress.com/post/jcmarot.com/3971
En 1900, Lord John Rayleigh, en exploitant les lois qui régissent les ondes électromagnétiques, établit une loi qui permet de calculer, pour un corps chauffé, l’intensité lumineuse rayonnée suivant les différentes longueurs d’onde. Pour les radiations allant de l’infrarouge au vert, l’expérience corrobore la loi. Mais pour le bleu, pour le violet, et plus encore pour l’ultraviolet, l’expérience est en contradiction flagrante avec la théorie. Les équations prévoyaient en effet que l’intensité du rayonnement devait être extrêmement grande pour les petites longueurs d’onde. C’est cet échec que les physiciens ont appelé la «catastrophe ultraviolette». Afin de surmonter cette «catastrophe», le physicien allemand Max Planck émet, quelques mois plus tard, une curieuse hypothèse : au lieu de considérer que les échanges d’énergie entre l’objet chauffé et le rayonnement qu’il émet se font de façon continue, Planck imagine qu’ils se font de façon discontinue, par paquets d’énergie. C’est comme si, au lieu de considérer que ces échanges d’énergie se faisaient à la manière d’un liquide s’écoulant d’un récipient à un autre, on remplaçait le liquide par des billes. Planck a appelé ces paquets d’énergie des quanta (au singulier : quantum) ; plus tard, on les appellera des photons. Ces paquets n’ont pas tous la même «grosseur» : pour chaque radiation, l’énergie contenue dans un photon est inversement proportionnelle à sa longueur d’onde dans le vide. Cette intrusion brutale de la discontinuité dans le bel enchaînement de la physique traditionnelle va semer le désarroi parmi les physiciens et chez Planck lui-même. Elle lui paraît, au mieux, un artifice de calcul. S. Ortoli, J.-P. Pharabod. Le cantique des quantiques.

28 : 00 – Einstein avec Solovine et Habicht ; le problème de l’existence de l’éther.
https://jcmarot.com/2018/02/15/relativite-1-ether/
On voit ici les prémices des questionnements d’Einstein sur l’éther comme support de propagation de la lumière, évoqué plus haut au chapitre 1.

Einstein avec Habicht et Solovine
45 : 58 – Lenard et l’effet photoélectrique ; Einstein se questionne : quelle est l’explication ?
https://jcmarot.com/2018/01/08/quantique-2-quantum/
Voir également animation pour quantique (2)
https://wordpress.com/post/jcmarot.com/4024
L’effet photoélectrique a été découvert par Heinrich Hertz en 1886 alors qu’il expérimentait sur les ondes électromagnétiques (radio). Il s’agit d’un phénomène d’extraction d’électrons des métaux sous l’effet de la lumière. L’électron est déjà identifié à l’époque depuis les travaux de Joseph Thomson sur ce qu’on appelait alors les rayons cathodiques.
C’est Philippe Lenard, alors assistant de Hertz, qui mène les premier travaux expérimentaux sur l’effet photoélectrique et fait les observations suivantes. L’effet n’a lieu que si la longueur d’onde de la lumière incidente est inférieure a une valeur précise λ0, appelée seuil photoélectrique qui dépend uniquement de la nature du métal.
Si λ > λ0, l’effet n’a pas lieu, aussi intense que puisse être le flux lumineux incident.
Si λ < λ0 :
– l’émission des électrons est quasi instantanée même si l’intensité lumineuse est faible ;
– la vitesse maximum des photo-électrons ne varie pas quand on agit sur l’intensité lumineuse, par contre leur nombre varie ;
– la vitesse maximum des photo-électrons augmente quand λ diminue.

____________________________
Chapitre 4
01 : 35 – La rencontre de Maria Skłodowska et Pierre Curie. (Paris, 1894).
https://jcmarot.com/2017/04/05/maria-sklodowska-curie/

04 : 45 – Einstein présente, sans succès, sa thèse sur les quantas au professeur Kleiner : les quantas de lumière et la constante de Planck pour expliquer l’effet photoélectrique.
Voir pour les travaux de Planck et la catastrophe ultraviolette :
https://jcmarot.com/2018/01/01/quantique-1-catastrophe-ultraviolette/
et, pour l’effet photoélectrique et les quantas d’Einstein :
https://jcmarot.com/2018/01/08/quantique-2-quantum/
L’électromagnétisme classique de Maxwell et Boltzmann ne permet pas de rendre compte des résultats expérimentaux obtenus par Lenard (1900). Max Planck, dans sa recherche de modélisation du rayonnement thermique (pour résoudre la « catastrophe ultraviolette ») avait envisagé, sans y croire vraiment, l’idée de quantification des échanges d’énergie entre lumière et matière. Einstein reprend cette idée en faisant l’hypothèse que la lumière elle-même est constituée de quanta d’énergie et interprète ainsi l’effet photoélectrique de façon satisfaisante. Il publie un article dans Annalen der Physik en mars 1905 : « Un point de vue heuristique concernant la production et la transformation de la lumière ».
Mais la communauté scientifique mettra du temps à accepter cette idée apparemment contradictoire avec le modèle ondulatoire de la lumière et Einstein ne recevra le prix Nobel pour ces travaux qu’en 1921.
07 : 45 – L’article de mars 1905 transmis à Planck pour publication dans Annalen der Physik : «Sur un point de vue heuristique concernant la production et la transformation de la lumière » ; Académie de Prusse Berlin).
https://jcmarot.com/2018/01/08/quantique-2-quantum/

« Un point de vue heuristique concernant la production et la transformationde lumière ». (Extrait) Annalen der Physik, Vol XVII, 1905, p 132-148 Traduction publiée dans « Albert Einstein, Œuvres choisies, Quanta » Seuil/CNRS Éditions
La conception usuelle, selon laquelle l’énergie de la lumière est distribuée de façon continue dans l’espace où elle est rayonnée, présente, quand on tente d’expliquer les phénomènes photoélectriques, de très sérieuses difficultés qui sont exposées dans un travail décisif de M. Lenard. La conception selon laquelle la lumière excitatrice est constituée de quanta d’énergie hν permet de concevoir la production de rayons cathodiques de la façon suivante. Des quanta d’énergie pénètrent dans la couche superficielle du corps ; leur énergie est transformée, au moins en partie, en énergie cinétique des électrons. La représentation la plus simple que l’on puisse s’en faire est celle d’un quantum de lumière cédant son énergie à un seul électron ; nous allons supposer que c’est bien ce qui se passe.
Il n’est pas exclu cependant que des électrons ne prennent qu’une partie de l’énergie des quanta de lumière. Un électron auquel une énergie a été fournie à l’intérieur du corps atteint la surface en ayant perdu une partie de son énergie cinétique. Nous allons supposer, de plus, que tout électron doit, pour pouvoir quitter un corps, fournir un travail W0 (caractéristique du corps). Les électrons qui quittent le corps avec la vitesse normale la plus élevée sont ceux qui se trouvent immédiatement à la surface et qui ont été excités normalement à celle-ci.
L’énergie cinétique de ces électrons est Ecmax = hν – W0. Si le corps est porté au potentiel positif V0, s’il est entouré de conducteurs à un potentiel nul, et si V0 est tout juste capable d’empêcher le corps de perdre de l’électricité, on a : eV0 = Ecmax = hν – W0.
09 : 23 – Maria Skłodowska et Pierre Curie ; radium. (Paris, 1898).
https://jcmarot.com/2017/04/05/maria-sklodowska-curie/
https://fr.wikipedia.org/wiki/Radioactivit%C3%A9
La radioactivité fut découverte en 1896 par Henri Becquerel (1852-1908), lors de ses travaux sur la phosphorescence […]. Son expérience consistait à sceller une plaque photographique dans du papier noir et mettre ce paquet en contact avec différents matériaux phosphorescents. Tous ses résultats d’expérience furent négatifs, à l’exception de ceux faisant intervenir des sels d’uranium, lesquels impressionnaient la plaque photographique à travers la couche de papier. Cependant, il apparut bientôt que l’impression de l’émulsion photographique n’avait rien à voir avec le phénomène de phosphorescence, car l’impression se faisait même lorsque l’uranium n’avait pas été exposé à la lumière au préalable. Par ailleurs, tous les composés d’uranium impressionnaient la plaque, y compris les sels d’uranium non phosphorescents et l’uranium métallique. À première vue, ce nouveau rayonnement était semblable au rayonnement X, découvert l’année précédente (en 1895) par le physicien allemand Wilhelm Röntgen (1845-1923). Des études ultérieures menées par Becquerel lui-même, ainsi que par Marie Curie (1867-1934) et Pierre Curie (1859-1906), ou encore par Ernest Rutherford (1871-1937), montrèrent que la radioactivité est nettement plus complexe que le rayonnement X. En particulier, ils découvrirent qu’un champ électrique ou magnétique séparait les rayonnements « uraniques » en trois faisceaux distincts, qu’ils baptisèrent α, β et γ. La direction de la déviation des faisceaux montrait que les particules α étaient chargées positivement, les β négativement, et que les rayonnements γ étaient neutres. En outre, la magnitude de la déflexion indiquait nettement que les particules α étaient bien plus massives que les β.
10 : 20 – Mouvement brownien et existence des molécules…
https://jcmarot.com/2017/01/04/mouvement-brownien/
L’état d’un liquide en repos et où régnerait une température uniforme devrait être absolument incompatible avec un changement quelconque ; car là où on ne saurait trouver de différences d’intensité, il ne peut y avoir non plus aucune cause de changement. Mais on peut rendre visible ce qui se passe à l’intérieur d’un liquide tel que l’eau, par exemple, en y suspendant des particules très nombreuses et très petites ou des gouttelettes d’un autre liquide tel que du mastic ou de la gomme goutte. Or le spectacle qui attend celui qui regarde une préparation de ce genre sous le microscope est de ceux qui ne peuvent s’oublier. Il semble que l’on pénètre dans un monde entièrement nouveau. Au lieu de l’immobilité sépulcrale qu’il était naturel d’imaginer, l’observateur assiste à la plus échevelée des sarabandes de la part des particules suspendues et, chose remarquable, les particules qui se démènent le plus follement sont justement les plus petites. Il est impossible de déceler de la part du liquide aucun frottement qui freinerait le mouvement. Si, par hasard, une particule vient à s’arrêter, une autre particule entre aussitôt à sa place dans la danse. Max Planck. Initiations à la physique.
18 : 10 puis 19 : 30 – L’existence des molécules ; l’article de mai 1905 : « Du mouvement des particules en suspension dans les liquides au repos lié à la théorie cinétique moléculaire de la chaleur ».
https://jcmarot.com/2017/01/04/mouvement-brownien/

22 : 20 puis 24 : 03 puis 25 : 27 – Mouvement brownien (suite) : modélisation sur une dimension.
https://jcmarot.com/2017/01/04/mouvement-brownien/
Le document ci-dessous, de Jean Perrin (1909) montre les mouvements aléatoires de particules en suspension dans un liquide (pointage toutes les 30 secondes) ; ces mouvements chaotiques sont dus aux chocs de molécules du liquide (beaucoup plus petites que les particules en suspension). L’étude de ce mouvement dit Brownien (du nom de Brown qui fut le premier à en faire état en 1827) apporte une confirmation de la théorie moléculaire. Elle permet aussi de déterminer la constante d’Avogadro (nombre d’entités élémentaires dans une mole de matière), qui permet de dénombrer ces molécules dans un échantillon de matière. L’exploitation du document se fait par projection sur un axe, donc sur une dimension, comme le fait Einstein dans l’étude théorique qui fait l’objet de son article de mai 1905.
Jean Perrin (1870 – 1942)

26 : 35 – Planck et Lenard à propos d’Einstein.
Les rancœurs de Lenard vont plus tard l’amener à jouer un rôle déterminant au sein du parti Nazi (voir chapitre 8 de la série).

29 : 13 – Einstein et Besso. Synchronisation des horloges et mouvement : l’amorce de la relativité restreinte.
https://jcmarot.com/2018/02/15/relativite-1-ether/
Einstein pointe la contradiction entre la mécanique de Newton et les équations de Maxwell déjà évoquée plus haut (chapitre1).
Il y a en effet deux contradictions majeures.
· Les équations de Maxwell ne sont pas invariantes par changement de référentiel galiléen et ne sont opératoires que dans un référentiel absolu qui serait donc lié à l’Ether.
· L’expérience de Michelson et Morlay montre que la célérité de la lumière est indépendante du référentiel galiléen choisi, alors que la relativité galiléenne classique postule l’additivité des vitesses relatives…
Il faut donc choisir : équations de Maxwell ou relativité galiléenne classique, et conservation ou non du référentiel absolu qui serait lié à l’Ether !
L’invariance de la vitesse de la lumière est en contradiction avec le principe de relativité de Galilée – Newton.
37 : 00 puis 38 : 08 – Le train ; la non simultanéité.
https://jcmarot.com/2018/02/21/relativite-2-muon/

L’observateur O perçoit les deux éclairs en même temps. Mais, puisque la célérité de la lumière est indépendante du référentiel, l’observateur O’, situé dans le train en mouvement par rapport au sol, perçoit l’éclair produit en B avant celui produit en A. Il n’y a donc pas simultanéité pour lui !
39 : 52 – Maria Skłodowska et Pierre Curie ; radium suite. (Paris, 1898).
Marie réalise l’extraction du radium par cristallisations fractionnées successives, en jouant sur la différence de solubilité des composés cristallins (chlorures de baryum et de radium).


40 : 40 – L’élaboration de l’article de juin 1905 « Sur l’électrodynamique des corps en mouvement » : transformations de Lorentz et « dilatation du temps » ; bases de la relativité restreinte.
https://jcmarot.com/2018/02/21/relativite-2-muon/



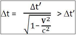
La démonstration mathématique est simple (avec le théorème de Pythagore) :
Puisque la célérité de la lumière est invariante, elle est égale à C pour l’observateur O comme pour l’observateur O’
Alors : D = C Δt donc D2 = C2 Δt2 = C2Δt’2 + V2 Δt2
Alors : Δt’2 = Δt2 (C2 – V2) / C2 = Δt2 (1 – V2 / C2)
Ou encore :
Δt2 = Δt’2 / (1 – V2 / C2)
donc :

Le temps mesuré par l’observateur O est supérieur au temps propre de l’observateur O’.
C’est un effet bien réel, expérimentalement vérifié et qui doit être pris en compte, par exemple, pour le fonctionnement des systèmes satellitaires de géolocalisation (GPS…). C’est un effet de perspective temporelle dynamique.

42 : 17 – Curie : prix Nobel pour la radioactivité ; il exige le partage avec Marie. (1903).
https://fr.wikipedia.org/wiki/Marie_Curie
Marie Curie et Pierre Curie — son époux — reçoivent une moitié du prix Nobel de physique de 1903 (l’autre moitié est remise à Henri Becquerel) pour leurs recherches sur les radiations. En 1911, elle obtient le prix Nobel de chimie pour ses travaux sur le polonium et le radium.
Scientifique d’exception, elle est la première femme à avoir reçu le prix Nobel, et à ce jour la seule femme à en avoir reçu deux. Elle reste à ce jour la seule personne à avoir été récompensée dans deux domaines scientifiques distincts (par la suite, et en dehors strictement des sciences, Linus Pauling obtint le prix Nobel de chimie en 1954 et le prix Nobel de la paix en 1962).
44 : 50 – Planck et Laue : commentaire sur l’article d’Einstein de juin 1905.
45 : 22 – L’amorce de l’addendum de septembre 1905 à l’article de juin ; présentation à Laue.
https://jcmarot.com/2018/03/01/relativite-3-e/
Il s’agit bien sûr de la formule de physique la plus connue : E = m C2.
Cette « équivalence » masse – énergie s’applique à différents domaines tels que les collisions de particules observées expérimentalement dans les grands accélérateurs, les synthèses de noyaux atomiques (nucléosynthèses) dans les étoiles, les centrales nucléaires ou les armements redoutables (bombes A et H).
L’année 2005 a connu le développement de polémiques sur la paternité de la théorie de la relativité, des historiens évoquant en particulier les rôles de Lorentz et Poincaré. En effet la réflexion et l’élaboration étaient évidemment à l’œuvre dans la communauté scientifique, confrontée aux problèmes soulevés par l’électromagnétisme. C’est en particulier le cas pour la célèbre « formule » E = m C2. Mais Jean-Marc Lévy-Leblond explique la part décisive d’Einstein dans une chronique de la revue La Recherche de mars 2005 : […] Poincaré, malgré un évident malaise par rapport à Einstein, n’a jamais revendiqué cette priorité — et pour cause : la contribution majeure d’Einstein n’a pas consisté en l’élaboration d’un formalisme déjà largement connu, mais en une transformation radicale de sa signification physique, en particulier par l’élimination de l’éther, auquel Poincaré n’a jamais renoncé.
La profondeur de cette formule vient de ce qu’elle donne un nouveau sens à des concepts fondamentaux, ceux de masse et d’énergie, dont on pouvait penser que la mécanique classique les avait clairement et définitivement élucidés. Loin d’être indépendantes, ces deux notions sont désormais identifiées, le coefficient c2 jouant le rôle d’un simple facteur de conversion d’unités. Autrement dit, l’énergie (E) est dotée d’une véritable substantialité, puisque l’accroissement d’énergie d’un objet se traduit par une augmentation de sa masse (m), c’est-à-dire de sa quantité de matière (une montre mécanique remontée est plus massive que lorsque son ressort est détendu), ainsi que de son inertie. Inversement, une partie ou même la totalité de la masse d’un objet peut se transformer en énergie cinétique, permettant des transmutations inexplicables par la mécanique classique : le cas le plus spectaculaire est celui de l’“annihilation” d’un électron et d’un positron (ou d’un couple particule-antiparticule quelconque) en photons, dépourvus de masse. Ainsi la formule d’Einstein doit-elle être invoquée pour rendre compte des réactions nucléaires où les quantités d’énergie mises en jeu sont considérables. Jean-Marc Levy Leblond.

Par des réactions de fusion nucléaire, le soleil transforme l’Hydrogène en Hélium, noyau atomique plus stable. Cette stabilisation se traduit par une émission d’énergie (sous forme de rayonnements) et donc par une perte de masse : le soleil perd ainsi 4,5 millions de tonnes par seconde !


Dans les trois cas ci-dessus le système concerné libère de l’énergie (sous forme d’énergie cinétique, d’agitation thermique ou de rayonnement) et donc correspond à une perte de masse de ce système. C’est extrêmement faible en proportion dans les deux premiers cas ; en revanche c’est important dans le cas des transformations nucléaires (radioactivité, fission, fusion).

____________________________
Chapitre 5
05 : 26 et 6 : 52 – Problème : la relativité (restreinte) ne s’applique que dans les référentiels inertiels ; que se passe-t-il pour les référentiels accélérés. Rencontre avec Jung : « ma théorie est incomplète ».
https://jcmarot.com/2018/03/14/relativite-4-courbure/
La relativité restreinte s’applique uniquement dans des référentiels dits inertiels (ou galiléens), en mouvements relatifs rectilignes uniformes, ce qui est en effet très restrictif : que se passe-t-il si on accélère ?
15 : 30 – L’amorce de la relativité générale. L’ascenseur en chute libre ; l’identité entre gravitation et accélération : « la plus belle idée de ma vie… ».
https://jcmarot.com/2018/03/14/relativite-4-courbure

Dans le champ de gravitation terrestre local tous les objets ont le même mouvement de chute libre (à condition de faire l’expérience dans le vide pour éliminer les frottements avec l’air. Galilée avait déjà formulée cette idée. Ceci amène à supposer que la masse inerte (qui intervient dans l’expression de la seconde loi de Newton) et la masse pesante (qui intervient dans l’expression du poids) sont égales ; en effet avec la seconde loi de newton on obtient :
Force = Poids = mp g = mi a et donc
en supposant mp = mi alors a = g
Donc effectivement tous les objets, quelle que soit leur masse, ont bien la même accélération donc le même mouvement de chute libre.
C’est ce qui amène Einstein à généraliser la relativité restreinte en considérant que le mouvement de chute libre est « comme nul » : les situations a et c sont équivalentes et donc les lois de la physique sont les mêmes dans les deux référentiels (inertiel ou en chute libre. De la même façon les situations b et d sont équivalentes : l’accélération équivaut à la gravitation.
Ceci amènera Einstein, avec l’aide de Grossmann, à formuler la relativité générale comme théorie nouvelle de la gravitation et à la mathématiser sous forme de courbure de l’espace-temps par la matière-énergie, abandonnant ainsi l’idée de force de gravitation, à distance et instantanée, formulée en son temps par Newton. Cette mathématisation fait appel à la géométrie non-euclidienne de Reimann.

http://sci.esa.int/lisa-pathfinder/56434-spacetime-curvature/
21 : 25 – Evocation du premier congrès Solvay de 1911, auquel Lenard n’était pas invité…
https://fr.wikipedia.org/wiki/Congr%C3%A8s_Solvay
Les congrès Solvay (aussi appelés conseils Solvay et conférences Solvay, ou encore comités Solvay) sont des conférences scientifiques en physique et en chimie qui se sont tenues depuis 1911. […] Depuis 1911, vingt-cinq congrès Solvay de physique ont été tenus, dont sept avant la Seconde Guerre mondiale. La première conférence, sous la houlette de Hendrik Lorentz, qui eut pour thème « La Théorie de la radiation et des quanta », eut lieu du 30 octobre au 3 novembre 1911 à l’Hôtel Métropole à Bruxelles. […] Pendant longtemps, Marie Curie fut la seule femme ayant participé à un congrès Solvay.
22 : 00 – Congrès Solvay. (Bruxelles 1911).
Rencontre d’Einstein avec Marie Skłodowska Curie.

Une seule femme : Marie Skłodowska Curie !
25 : 49 – Einstein et Besso. Une conséquence merveilleuse de la relativité générale : la gravité courbe la lumière. (Prague 1911).
https://jcmarot.com/2018/03/14/relativite-4-courbure/

Image extraite de la vidéo de Jean-Pierre Luminet : De la Relativité générale au Big Bang https://www.youtube.com/watch?v=EhJphtDheI8
Déviation de la lumière
[…] D’où il faut conclure que dans les champs de gravitation les rayons lumineux se propagent généralement en décrivant des trajectoires curvilignes. Ce résultat est d’une grande importance à un double point de vue. Tout d’abord, il peut être comparé avec la réalité. Bien qu’un examen détaillé nous montre que la courbure des rayons lumineux est extrêmement petite pour les champs de gravitation que l’expérience met à notre disposition, elle doit atteindre 1,7 secondes d’arc pour les rayons lumineux qui rasent le bord du Soleil. C’est ainsi que les étoiles fixes qui sont placées près du Soleil et que nous pouvons observer quand celui-ci subit une éclipse totale devront paraître éloignées de lui de la distance indiquée plus haut par rapport à la position qu’elles occupent dans le ciel quand le Soleil se trouve dans un autre endroit de l’espace céleste. L’examen de l’exactitude ou de la non-exactitude de cette conséquence est une tâche de la plus haute importance, dont il est à espérer que les astronomes nous fourniront prochainement la solution1.
1 L’existence de la déviation de la lumière exigée par la théorie fut constatée au moyen de photographies, lors de l’éclipse de Soleil du 29 mai 1919, par les deux expéditions organisées par la Société Royale sous la direction des astronomes Eddington et Crommelin.
Einstein. La théorie de la relativité restreinte et générale.
30 : 02 – la couleur bleue du ciel.
http://www.pixheaven.net/html/geoman/apprendre/ciel_bleu.html

https://fr.science-questions.org/questions_de_science/152/Pourquoi_le_ciel_est-il_bleu_/
36 : 35 – Marie et Mileva : évocation de la désintégration radioactive selon Rutherford. (Suisse).
https://fr.wikipedia.org/wiki/Ernest_Rutherford
Il [Rutherford] résume le résultat de ses recherches dans un livre intitulé Radio-activité en 1904, où il explique que la radioactivité n’est influencée ni par les conditions extérieures de pression et de température, ni par les réactions chimiques, et qu’elle produit un dégagement de chaleur très supérieur à celui d’une réaction chimique. Il explique également que de nouveaux éléments sont produits, ayant des caractéristiques chimiques différentes, tandis que les éléments radioactifs disparaissent.
[…] C’est en 1911 qu’il fait sa plus grande contribution à la science en découvrant le noyau atomique. Il avait observé à Montréal qu’en bombardant une fine feuille de mica avec des particules alpha, on obtenait une déflexion de ces particules. Geiger et Marsden, refaisant de façon plus poussée ces expériences en utilisant une feuille d’or, avaient constaté que certaines particules alpha étaient déviées de plus de 90 degrés. Rutherford émet alors l’hypothèse qu’au centre de l’atome devait se trouver un « noyau » contenant presque toute la masse et toute la charge positive de l’atome, les électrons déterminant en fait la taille de l’atome. Geiger et Marsden vérifièrent par la suite ces conclusions par l’expérience.



40 : 17 – L’opposition de Lenard à Einstein.
44 : 41 – Einstein et Planck : quatre dimensions.
https://jcmarot.com/2018/03/14/relativite-4-courbure/
Adapté de https://fr.wikipedia.org/wiki/Relativit%C3%A9_g%C3%A9n%C3%A9rale
La relativité générale ajouta à la relativité restreinte que la présence de matière pouvait déformer localement l’espace-temps lui-même (et non pas seulement les trajectoires), de telle manière que des trajectoires dites géodésiques — c’est-à-dire intuitivement de longueur minimale — à travers l’espace-temps ont des propriétés de courbure dans l’espace et le temps. Le calcul de la « distance » dans cet espace-temps courbe est plus compliqué qu’en relativité restreinte, en fait la formule de la « distance » est créée par la formule de la courbure, et vice-versa. […] Cette équation [d’Einstein] exprime et concentre les idées principales d’Einstein gouvernant la relativité générale : le principe d’équivalence amène à affirmer que la gravitation n’est pas une véritable force. S’il n’existe aucune force pour dévier ou accélérer la trajectoire des objets, c’est que c’est l’espace-temps lui-même qui est déformé et la théorie de la gravitation doit se manifester sous forme d’une courbure de l’espace-temps. Les objets suivent des géodésiques, qui peuvent être considérées comme l’équivalent des lignes droites pour cet espace-temps courbé. […]
Courbure locale de l’espace-temps = densité locale d’énergie

____________________________
Chapitre 6
02 : 54 – Einstein, Haber, Freundlich. La relativité générale explique l’avance du périhélie de mercure et courbure de l’espace-temps. Puis la possibilité d’apporter des preuves de la relativité générale au moment d’une éclipse de soleil. (Zurich 1913).
puis 14 : 40 – L’opposition de Lenard au projet d’observation de l’éclipse de 1913 en Crimée. Le projet est défendu en particulier par le chimiste Fritz Haber.
A noter que Haber, comme Einstein, est d’origine juive ; on remarque alors l’antisémitisme de Lenard (donc on connait le futur au sein du parti nazi). Un argument avancé est la préférence du kaiser pour la « science pratique », au dépend de la recherche fondamentale. Le débat n’est pas nouveau !
https://jcmarot.com/2018/03/14/relativite-4-courbure/
La “preuve par l’éclipse” ne sera pas réalisée par Freundlich (voir la suite de la série…) mais plus tard par un anglais, Eddington, en 1919.

____________________________
Chapitre 7
01 : 30 – L’expérience du radiomètre de Crookes (Bristol 1898).
https://fr.wikipedia.org/wiki/Radiom%C3%A8tre_de_Crookes
Le radiomètre de Crookes consiste en une ampoule sous vide partiel, dans laquelle on a disposé un système rotatif constitué d’un axe de métal sur lequel peut tourner un ensemble de quatre ailettes de mica dont chacune a une des faces noircie au noir de fumée et l’autre argentée. Exposées à un rayonnement électromagnétique, ces ailettes se mettent à tourner d’autant plus vite que le rayonnement est important.
01 : 53 –Crookes expose la perspective d’une catastrophe alimentaire faute d’engrais. Le chimiste Fritz Heber envisage la synthèse de l’ammoniac. (Karlsruhe 1898). Plus tard, (Berlin 1914) Rathenau expose le défaut d’armement et propose la création d’un département militaire pour la recherche scientifique. Einstein ne signe pas.
Fritz Haber (1868 – 1934)
11 : 33 – Einstein rencontre le mathématicien Hilbert.
Puis 19 : 16 – Hilbert a gagné la course à la résolution mathématique de la relativité générale.
Puis 23 : 05 – Le calcul de l’avance du périhélie de Mercure. Einstein montre que Hilbert s’est trompé.
David Hilbert (1862 – 1943)
16 : 02 – Haber. Synthèse de l’ammoniac en 1909.
D’après https://fr.wikipedia.org/wiki/Proc%C3%A9d%C3%A9_Haber
Le procédé Haber est un procédé chimique servant à la synthèse de l’ammoniac (NH3) par hydrogénation du diazote (N2) gazeux atmosphérique par le dihydrogène (H2) gazeux en présence d’un catalyseur. C’est en 1909 que le chimiste allemand Fritz Haber parvint à mettre au point ce procédé chimique. Une équipe de recherche de la société BASF mit au point, en 1913, la première application industrielle du procédé Haber : c’est le procédé Haber-Bosch.
Le procédé Haber-Bosch a une importance économique considérable, car il est difficile de fixer l’azote en grandes quantités et à un coût peu élevé, à l’aide des autres procédés mis au point. Par exemple, le sel d’ammonium et le nitrate, obtenus à partir de l’ammoniac, servent à la fabrication de l’urée et du nitrate d’ammonium. Le procédé a également une importance militaire certaine, car l’ammoniac peut être transformé en acide nitrique, précurseur de la poudre à canon et d’explosifs puissants (comme le TNT et la nitroglycérine).
L’ammoniac sert le plus souvent à créer des engrais azotés synthétiques, lesquels ont longtemps été considérés comme essentiels pour alimenter la population mondiale au début du XXIe siècle.

25 : 02 – Fritz Haber met au point l’armement chimique (composés chlorés) utilisé pendant la guerre 14 – 18.
On a d’abord utilisé le dichlore Cl2, qui attaque des tissus des voies respiratoires supérieures et des poumons. Mais on a rapidement « perfectionné » avec des composés encore plus toxique tels que l’ypérite ou gaz moutarde par exemple.
https://fr.wikipedia.org/wiki/Gaz_moutarde
Le gaz moutarde est un composé chimique cytotoxique et vésicant qui a la capacité de former de grandes vésicules sur la peau exposée. Il a été particulièrement utilisé comme arme chimique visant à infliger de graves brûlures chimiques des yeux, de la peau et des muqueuses, y compris à travers les vêtements et à travers le caoutchouc naturel des bottes et masques, durant la Première Guerre mondiale et lors de plusieurs conflits coloniaux, puis, plus récemment, lors de la guerre Iran-Irak.
Voir aussi :
http://multinationales.org/La-Premiere-Guerre-mondiale-passe

Gaz moutarde ou ypérite (sulfure de 2,2’‑dichlorodiéthyle)
Par Ben Mills — Travail personnel, Domaine public,
https://commons.wikimedia.org/w/index.php?curid=859064
41 : 30 – La preuve par l’éclipse. Eddington commente les résultats des observations au cours de l’éclipse. (Cambridge 1919)
https://jcmarot.com/2018/03/14/relativite-4-courbure/
Voir plus haut : chapitre 6.

Puis 42 : 25 – Lenard remet évidemment en cause ces résultats devant l’Académie Nobel de Stockholm.
Le prix Nobel ne sera pas attribué à Einstein pour la relativité (il l’obtiendra en 1921 pour l’interprétation de l’effet photoélectrique et les quantas de lumière). En 1918 Planck (le corps noir et les quantas) et Haber (synthèse de l’ammoniac) reçoivent le prix Nobel.
Voir : https://fr.wikipedia.org/wiki/Prix_Nobel_de_physique
et https://fr.wikipedia.org/wiki/Prix_Nobel_de_chimie
____________________________
Chapitre 8
11 : 54 – Le prix Nobel de 1921 (voir plus haut)
31 : 43 – Discussion entre Niels Bohr et Einstein : le principe d’incertitude d’Heisenberg (Berlin 1927).
https://jcmarot.com/2016/12/24/dualite/
et https://jcmarot.com/2018/01/27/quantique-4-quanton/
Niels Bohr (1885 – 1962)
Niels Bohr est, avec Dirac, De Broglie, Heisenberg, Schrödinger, Pauli… l’une des figures marquantes dans l’élaboration de la mécanique quantique. Einstein et Bohr se sont constamment, mais amicalement, opposés. Contrairement à Bohr, Einstein considère que la mécanique quantique est inachevée. Il aurait lancé à Bohr : « Dieu ne joue pas aux dés », ce à quoi Bohr aurait répondu : « Mais qui êtes-vous, Albert Einstein, pour dire à Dieu ce qu’il doit faire ? ».

Le « principe d’incertitude d’Heisenberg », qu’il vaut peut-être mieux appeler inégalité de Heisenberg », stipule que, pour un objet quantique (donc au niveau de modélisation ultramicroscopique), il est impossible de connaître en même temps la position et la quantité de mouvement (pour une particule matérielle : p = m v)… Ceci se traduit par une inégalité :
Δx . Δp ≥ h /4π
(ou h est la constante de Planck).
Werner Heisenberg (1901 – 1976)
Mais cette proposition, qui exprime en quelque sorte le flou du paysage quantique, est interprétée avec l’idée classique de « particule », c’est-à-dire d’objet localisé en mouvement. En fait il faut, pour aborder ce domaine, abandonner résolument les conceptions usuelles dont nous disposons, à savoir la particule et l’onde qui ne sont que des images, au mieux des concepts. Le quanton (l’objet quantique) n’est ni une particule, ni une onde associée. Seule la mathématisation en rendra compte avec efficacité et permettra d’interpréter avec une grande efficacité les données de l’expérience (spectres de raies, niveaux d’énergie atomiques…), voir même de les prévoir. Il reste que, si on effectue un ensemble de mesures sur des objets quantiques, ils vont au bout du compte se comporter à la façon d’une particule ou d’une onde. C’est ainsi que des électrons projetés sur des fentes d’Young vont produire des interférences, à la façon dont le font les ondes lumineuses.

La vraie nature des objets quantiques a été pendant longtemps mal comprise : la preuve en est qu’on les décrit encore habituellement en invoquant « la dualité onde – corpuscule ». Il faut remarquer tout d’abord que cette formulation est au mieux ambiguë : faut-il penser un objet quantique comme étant à la fois une onde et une particule, ou parfois l’une, parfois l’autre ? Aucune de ces deux interprétations n’a en fait de sens. « Onde » et « particule » ne sont pas des choses, mais des concepts, et des concepts incompatibles, qui ne peuvent pas caractériser la même entité. Il est vrai que les objets quantiques se comportent dans certains cas comme des particules et dans d’autre cas comme des ondes, mais il est encore plus vrai que dans la plupart des situations (en particulier celles que l’on peut explorer grâce aux expériences modernes et complexes), ils ne ressemblent ni à une onde, ni à une particule.J.M. Levy-Leblond.
L’idée fondamentale de [ma thèse de 1924] était la suivante : « Le fait que, depuis l’introduction par Einstein des photons dans l’onde lumineuse, l’on savait que la lumière contient des particules qui sont des concentrations d’énergie incorporée dans l’onde, suggère que toute particule, comme l’électron, doit être transportée par une onde dans laquelle elle est incorporée […] Mon idée essentielle était d’étendre à toutes les particules la coexistence des ondes et des corpuscules découverte par Einstein en 1905 dans le cas de la lumière et des photons. Louis De Broglie.
http://journals.openedition.org/narratologie/6025
Quel est le problème fondamental auquel se trouvent confrontés les fondateurs de la mécanique quantique, à savoir Bohr, Heisenberg, Born, Pauli et Schrödinger ? En termes kantiens, la physique quantique met au jour un niveau de réalité lui échappe aux « formes pures de l’intuition sensible », l’espace et le temps. De ce fait, les micro-objets quantiques, contrairement aux objets macro-physiques peuplant le monde tel que nous le percevons à notre échelle, ne peuvent être pensés comme des substances permanentes ayant une existence et des caractéristiques intrinsèques : les microparticules ont un comportement phénoménal discontinu, et la plupart des propriétés qu’on leur attribue ne sont (sauf dans certains cas précis) valables que par rapport à un contexte expérimental donné. Ilias Yocaris. Des images et des paraboles : Niels Bohr et le discours descriptif en physique quantique.
Il serait inexact de dire que la lumière (comme tout autre système quantique d’ailleurs) est à la fois une onde et un corpuscule, elle n’est ni l’un, ni l’autre. Le manque d’un vocabulaire adéquat et l’impossibilité de se faire une représentation mentale intuitive des phénomènes à petite échelle nous font voir ces objets comme ayant une nature, par elle-même, antinomique. Pour lever cet apparent paradoxe et insister sur l’imperfection de nos concepts classiques d’onde et de corpuscule, les physiciens Jean-Marc Lévy-Leblond et Françoise Balibar ont proposé d’utiliser le terme de « quanton » pour parler d’un objet quantique. Un quanton n’est ni une onde, ni un corpuscule, mais peut présenter les deux aspects selon le principe de complémentarité de Bohr.
Les modèles de la mécanique quantique s’avèrent particulièrement efficaces pour la description des atomes et structures moléculaires. Ainsi l’électron dans un atome est modélisé par une fonction d’onde dont les états stationnaires permettent d’interpréter et calculer les niveaux d’énergie et en conséquence les phénomènes d’absorption et émission de lumière au niveau atomique ou moléculaire.


Evidemment le formalisme mathématique est quelque peu dissuasif et laisse peu de place aux images mentales usuelles. Mais il suggère tout de même une certaine poésie calligraphique, comme par exemple avec l’équation de Schrödinger :

____________________________
Chapitre 9
01 : 20 – La bombe d’Heisenberg ? (1944)
Voir ci-dessous : la bombe atomique.
Werner Heisenberg est présenté dans la série comme saboteur du projet nazi. Pour plus de détail voir : https://fr.wikipedia.org/wiki/Werner_Heisenberg
18 : 10 – Discussion entre Bohr et Einstein : l’intrication quantique ne convient pas à Einstein.
Voir un extrait [intrication.mp4]
La mécanique quantique a accumulé les réussites :
- la modélisation des structures et propriétés de la matière (particules élémentaires, atomes, molécules, solides, échanges lumière – matière, supraconductivité, superfluidité…) ;
- des applications techniques « révolutionnaires » (transistor, laser…).
Il n’y a donc pas de controverse sur la validité des résultats et des applications de la mécanique quantique, mais plutôt sur ses interprétations.
L’intrication quantique.
L’exemple le plus significatif, qui oppose Bohr et Einstein est celui du principe d’indétermination d’Heisenberg et de « l’intrication quantique ».
Rappelons d’abord que le que le principe d’indétermination d’Heisenberg postule qu’il est impossible de connaître simultanément la valeur précise de deux grandeurs physiques d’une particule dites incompatibles, telles que la vitesse (ou quantité de mouvement) et la position. Plus une grandeur est mesurée avec précision, plus la mesure de l’autre est indéterminée. (Voir plus haut Chapitre 8).
Le paradoxe EPR.
Einstein, avec Podolsky et Rosen, propose en 1935 une expérience de pensée (dite paradoxe EPR) pour contredire le principe d’indétermination.
Soit deux particules ① et ② possédant chacune deux grandeurs A et B incompatibles selon Heisenberg. Supposons qu’elles soient émises simultanément, de sorte que l’une des deux grandeurs soit corrélée, disons par exemple A① + A② = 0.
Après l’émission des deux particules (qui s’éloignent l’une de l’autre) on mesure A① et B②. On en déduit alors avec certitude A② = – A①, sans avoir à effectuer la mesure. On connait donc avec certitude les deux grandeurs incompatibles A② et B②, ce qui pour Einstein, Podolky et Rosen est évidemment contradictoire avec le principe d’indétermination. Pour Einstein l’état de chacune des deux particules existent avant la mesure. Il est simplement révélé au moment de la mesure. Si deux particules sont corrélées, c’est parce qu’elles l’étaient dès le début, et non au moment de la mesure. La mécanique quantique est donc selon lui incomplète et il reste à découvrir des « variables cachée » susceptibles de lever l’indétermination d’Heisenberg.
Selon Bohr l’état de chacune des deux particules est indéterminé avant la mesure sur l’une d’elle, et c’est cette mesure sur l’une d’elle entraîne instantanément la détermination de l’état de l’autre particule. Ceci signifie en fait que les deux particules sont indissociables et que l’ensemble des deux particules ne forme qu’un seul et même système modélisé par une fonction d’onde unique, tant qu’il n’y a pas décohérence. C’est le sens du terme intrication quantique.
Evidemment cette communication à instantanée à distance (une « action fantôme ») est inacceptable pour Einstein, qui raisonne en termes classique de particules localisées dont les propriétés telles que la position, la vitesse, etc., préexistent à
la mesure.
On peut même aller un peu plus loin en disant que l’objet quantique ne possède pas ces propriétés (position, vitesse, etc.) mesurables sur les objets usuels. C’est la mesure elle-même qui impose à l’objet quantique de rendre un résultat, au demeurant aléatoire et exploitable seulement en terme de probabilité !
Une bonne partie de sa vie, Einstein n’a cessé d’essayer de mettre la physique quantique en faute. Il critiquait en particulier le concept d’intrication quantique, selon lequel l’état de particules peut être lié quelle que soit la distance qui les sépare. En 1935, avec Boris Podolsky et Nathan Rosen, il a formulé ses objections sous forme d’un paradoxe, aujourd’hui nommé paradoxe EPR. Selon ces trois physiciens, l’intrication quantique implique qu’il existe entre deux particules intriquées des interactions qui se propagent plus vite que la lumière. La seule façon d’éviter ce conflit avec la relativité restreinte est de supposer que la physique quantique décrit la réalité de façon incomplète et qu’il existe des « variables cachées », inconnues des physiciens, qui donnent l’illusion de l’intrication quantique. Pour le physicien danois Niels Bohr, principal contradicteur d’Einstein, il n’y a pas de conflit avec la relativité restreinte car l’intrication quantique est un phénomène non-local : il ne dépend pas des positions des particules dans l’espace ; un système intriqué forme un tout dont on ne peut pas décrire séparément les composants. Sean Bailly. L’intrication quantique confirmée par une expérience de Bell sans faille.
A propos de la mécanique quantique, par Alain Aspect :
https://www.devivevoix.com/livre-audio/einstein-et-les-revolutions-quantiques-alain-aspect/
et une conférence d’Alain Aspect à l’Académie des Sciences : Du débat Bohr-Einstein à l’information quantique : la seconde révolution quantique ? http://www.academie-sciences.fr/fr/Seances-publiques/du-debat-bohr-einstein-a-l-information-quantique-la-seconde-revolution-quantique.html
23 : 12 –Niels Bohr et Leo Szilard (Université de Columbia 1939).
Puis 27 : 07 – Einstein et Szilard (1939).
Puis 28 : 16 – Heisenberg (Kaiser Wilhelm Institute Berlin 1939.
Puis 38 : 58 – Heisenberg à Zurich.
https://jcmarot.com/2018/03/01/relativite-3-e/
Les nazis (Heisenberg) et les américains (projet Manhattan) cherchent à mettre au point la bombe atomique basée sur la fission nucléaire. La fission d’un noyau atomique lourd (uranium 235 par exemple) en deux noyaux plus stables produit une diminution globale de masse et donc, selon la fameuse formule d’Einstein E = m C2,
une libération considérable d’énergie.
Fissions nucléaires
Les minerais d’uranium (U) contiennent essentiellement 2 isotopes dans les proportions : 99,3% d’uranium 238 et 0,7% d’uranium 235. Le combustible des centrales nucléaires est un mélange enrichi en uranium 235, c’est-à-dire que la proportion de l’isotope 235 est supérieure à 0,7% (et celle du 238 inférieure à 99,3%). En effet, les noyaux d’uranium 235 sont fissiles, c’est-à-dire susceptibles de subir une fission nucléaire sous l’action d’un neutron, par exemple selon la réaction :
![]()
Une multitude de réactions de fission peuvent avoir lieu, par exemple :

Pour chacune il y a formation de deux noyaux de taille moyenne, et la réaction s’accompagne d’émission de rayonnement électromagnétique (photons) gamma très énergétiques lorsque ces noyaux formés se réorganisent. Ces noyaux formés sont souvent instables et donc radioactifs et constituent ce qu’on appelle les « déchets » nucléaires dont on connait les problèmes de stockage.
Le plutonium (Pu) n’existe pas dans la nature. Le plutonium 241 est un sous-produit obtenu, dans les réacteurs des centrales nucléaires, à partir de l’uranium 238. On peut en effet schématiser la formation d’un noyau de plutonium 241 par l’équation de réaction nucléaire suivante :
![]()
Une fois formé, le plutonium 241 est lui-même fissile sous l’action d’un bombardement neutronique par exemple par la réaction :
![]()
La réaction en chaîne
La réaction de fission d’un noyau fissile est provoquée par le choc d’un neutron, comme indiqué dans les équations ci-dessus. On voit, dans ces mêmes équations, qu’il y a alors libération de plusieurs neutrons qui peuvent provoquer à leur tour la fission des noyaux voisins ; et ainsi de suite… Il se produit alors une « réaction en chaîne » qui se développe très rapidement alors une importante libération d’énergie. C’est le principe de la bombe atomique (bombe A). Il suffit de réunir une masse suffisante de matériaux fissiles (masse critique) pour que la réaction en chaine s’amorce spontanément.
C‘était l’objectif des nazis et des américains (projet Manhattan) ; ce sont les bombes qui ont été larguées sur Hiroshima et Nagasaki en 1945 (6 et 9 aout 1945, 250 000 morts).

Dans les centrales nucléaires on utilise ces mêmes réactions de fission, mais en contrôlant la quantité de neutrons libérés (en introduisant des barres de contrôle constituées de matériaux qui absorbent ces neutrons).
Pour plus de précisions voir :
https://fr.wikipedia.org/wiki/R%C3%A9action_en_cha%C3%AEne_(nucl%C3%A9aire)
Calculs d’énergie
Le calcul de l’énergie libérée par la réaction de fission nucléaire s’effectue à partir de la variation de masse qui a lieu au cours de la réaction, à l’aide de la relation d’Einstein : E = m C2.
Dans ce qui suit on utilise l’unité de masse atomique u, qui est une unité adaptée à ce niveau et correspond à 1/12ème de la masse de l’atome de carbone 12 (1 u = 1,660 538 921(73) × 10−27 kg avec une incertitude relative de 5,0×10-8).
Considérons par exemple l’une des réactions de fission de l’uranium 235 :
![]()
Connaissant les masses des différents objets on se rend compte qu’il y a une diminution de masse au cours de la réaction (neutron : 1,0087 u ; uranium 235 : 234,9935 u ; cérium 146 : 145,8782 u ; sélénium 85 : 84,9033 u) :
Δm = masse finale – masse initiale
= – 0,1772 u
Ce système perd de la masse donc il fournit donc de l’énergie au milieu extérieur
sous forme d’agitation thermique (chaleur) et de rayonnement.
En proportion, pour 1 u d’uranium (dont la masse est environ 235 u) :
Δm / m = – 0,1772 / 235 = 0,000754
Pour la fission d’1 kg d’uranium on a donc une conversion d’environ 0,75 g de matière en énergie (chaleur, rayonnement) donc :
E = m C2 = 0,000754 x (3 x 108)2 = 6,8 1013 Joule
D’autre part la combustion de 1 kg de pétrole libère une énergie de 4,5 x 107 J. Donc la fission d’un kg d’uranium libère une énergie équivalente à la combustion de 1,5 x 106 kg, soit 1500 tonnes, de pétrole.

Fusions thermonucléaires (bombe H)
L’arsenal d’armement nucléaire est essentiellement constitué de bombe H. « On n’arrête pas le progrès !!! ». Elles utilisent la réaction de fusion :

Pour amorcer cette réaction il faut atteindre une température extrêmement élevée qui est obtenue par l’explosion d’une bombe atomique au plutonium…
Pour plus de détails : https://fr.wikipedia.org/wiki/Bombe_H
Cette même réaction est envisagée comme source d’énergie civile : c’est le projet international ITER (International Thermonuclear Experimental Reactor). Les études sont effectuées à Cadarache (Bouches-du-Rhône).
Pour plus de détails : https://fr.wikipedia.org/wiki/ITER

Le principe de la fusion.@IRSN
____________________________
Chapitre 10
11 : 30 – David Bohm et les variables cachées.
Puis 21 : 42 – Einstein et Bohr : la controverse se poursuit.
Les inégalités de Bell et les contradictions de l’expérimentation.
Trois principes guident les modèles classiques :
Le réalisme : un objet possède des propriétés qui lui sont propres.
La causalité : l’état d’un objet est déterminé par leur état initial et les effets subits dans le passé.
La localité : deux objets distants ne peuvent avoir une influence instantanée l’un
sur l’autre (pas de vitesse supérieure à celle de la lumière).
John Bell, en 1964, élabore une idée de protocole expérimental visant à montrer que la théorie quantique est incomplète. Il considère des mesures effectuées sur deux particules intriquées (par exemple la mesure d’une grandeur appelée spin). Dans le cadre quantique, les résultats de ces mesures sont probabilistes. Mais pour un grand nombre de mesures, effectuées dans des conditions expérimentales précises, on obtient des corrélations. Si les trois principes évoqués plus haut sont valides (théorie « locale et déterministe à variables cachées »), ces corrélations doivent obéir à certaines relations d’inégalité, dites inégalités de Bell.
Or toutes les expériences réalisées sur ce modèle (celles d’Aspect à l’Institut d’optique à Orsay entre 1980 et 1982 et de nombreuses autres depuis) montrent que les inégalités de Bell ne sont pas respectées ! Il faut donc concevoir que l’un au moins des principes, par exemple celui de localité, n’est pas valide. On retrouve ici l’idée de Bohr et de l’école dite de Copenhague : les deux particules intriquées constituent un seul et même système non local. La mécanique quantique serait-elle complète ?
Le chat de Schrödinger.
https://fr.wikipedia.org/wiki/Chat_de_Schr%C3%B6dinger
Le chat de Schrödinger est une expérience de pensée imaginée en 1935 par le physicien Erwin Schrödinger afin de mettre en évidence des lacunes supposées de l’interprétation de Copenhague de la physique quantique, et particulièrement mettre en évidence le problème de la mesure.

Un chat est enfermé dans une boîte avec un flacon de gaz mortel et une source radioactive. Si un compteur Geiger détecte un certain seuil de radiations, le flacon est brisé et le chat meurt. Selon l’interprétation de Copenhague, le chat est à la fois vivant et mort. Pourtant, si nous ouvrons la boîte, nous pourrons observer que le chat est soit mort, soit vivant.
L’une des conséquences mathématiques de la mécanique quantique est la superposition : si deux états d’un système sont possibles la somme (combinaison linéaire) est également possible. La mesure donnera avec une certaine probabilité le résultat correspondant à l’un des états. Selon l’interprétation de Copenhague il faut absolument éviter les formulations comme « plusieurs endroits en même temps » pour une particule (ou « mort et vivant » pour le chat) puisque le principe de localité est à rejeter.
Bien d’autres situations montrent l’étrangeté de la mécanique quantique par rapport à nos conceptions usuelles, par exemple celle des interférences obtenues avec des photons projetés un par un sur un système de double fente (fentes d’Young) ou encore celles obtenues avec des électrons successifs.

On pourra consulter le diaporama d’une conférence de Serge Haroche (prix Nobel 2012) : http://www.college-de-france.fr/media/serge-haroche/UPL40896_College_a_Bruxelles.2_comprime.pdf
On peut comprendre les hésitations d’Einstein qui pourtant, quelques années plus tôt, avait bousculé à sa façon les idées reçues de la physique classique !
Je pense qu’il vaut mieux dire tout de suite que personne ne comprend la mécanique quantique… Si vous le pouvez, évitez de vous dire : « Mais comment peut-il en être ainsi ? », sinon vous serez submergés, noyés et entraînés vers un gouffre dont personne encore n’a réussi à s’échapper. Personne ne sait comment il peut en être ainsi.
Richard Feynman.
Pour la mécanique quantique on peut donc consulter également, sur ce même site, les chantiers :
Dualité https://jcmarot.com/2016/12/24/dualite/
L’atome de Bohr https://jcmarot.com/2017/01/14/latome-de-bohr/
Pour les interprétations et polémiques autour de la mécanique quantique voir le document : [interprétations.pdf] interprétations
On pourra consulter également sur ce même site : Interprétations quantiques
Documents disponibles à l’adresse DOCS (dossier genius).
