
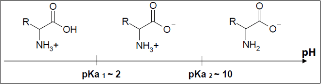
Acides α-aminé : domaines de prédominance


Evolution en fonction du pH de l’absorbance
d’une solution aqueuse de bleu de bromothymol

Bleu de bromothymol
——————————————————-
Tous les documents indiqués dans ce qui suit sont téléchargeables à l’adresse DOCS (dossier acide-base (5) domaines).
—————————————–
Couples acide-base : 4 travaux à propos des
domaines et diagrammes de prédominances.
Documents de travail :
[1-diagramme.pdf] et [1-diagramme.xlsx] (corrigé : [1-diagramme-corrige.xlsx])
[2-indicateur.pdf] (corrigé : [2-indicateur-corrige.pptx])
[3-acides-amines.pdf] (corrigé : [3-acides-amines-corrige.pdf])
[4-CO2.pdf]







Voir également sur ce même site : érosion-concrétions
Documents d’aide et complément :
[Ka-pKa.pdf] et [predominance.pdf]
[autres-exemples.pdf]



——————————————————-
Tous les documents indiqués dans ce qui suit sont téléchargeables à l’adresse DOCS (dossier acide-base (5) domaines).

————————————————————————————-